This week the conditions aligned, and I got to use two new (to me) technologies: Vader Sentiment Analysis and Copilot. It was a fortuitous coincidence that these two technologies came together, as their combined power was able to break me out of my comfort zone and still be productive. https://youtu.be/mQEom8ESs8k Wrote a simple sentiment analysis... Continue Reading →
How to Sell Your Video Game?
Our new paper with Philipp and Hakan is just published in MISQE. For me, it is the culmination of work I have been doing since I wrote my first Steam scripts in 2014... I was very lucky in terms of my extremely talented co-authors, thanks to them years of confusion was distilled into this practitioner... Continue Reading →
How I Almost Got Rich On Bitcoin
Alright children gather around, it is story time. Today I will tell you about the time when I almost got rich off of Bitcoin. The year was 2011 and I was a fresh faced PhD student at ASU, looking for my first year project. The project we settled on was Bitcoin. At the time Bitcoin... Continue Reading →
Processing Large Json Files on Command Line
So for one of the projects I am working on I have to deal with large Json files. My first instinct is to use what I know: R, python, bash... But this time I had to use a tool that was new to me, JQ, with great results. JQ one liner processes the data and... Continue Reading →
Parallelizing Bootstrapping At Least…
I understand that there are some workloads that don't lend themselves to parallel processing. Yet bootstrapping is so clearly parallelizable. Why in this day and age, do we have to rely on serial processing of bootstrapping tasks, I don't understand. This became infuriatingly obvious to me when a bootstrapping task I left running on Friday... Continue Reading →
Business of Games 2019
One of the things I will miss about OU is the BoG summit that John Bowditch and Paul Mass organizes every year. Considering my research area, it was a blessing to have BoG so nearby. This year too I just walked down the Court street to join the conference. While I could not attend all... Continue Reading →
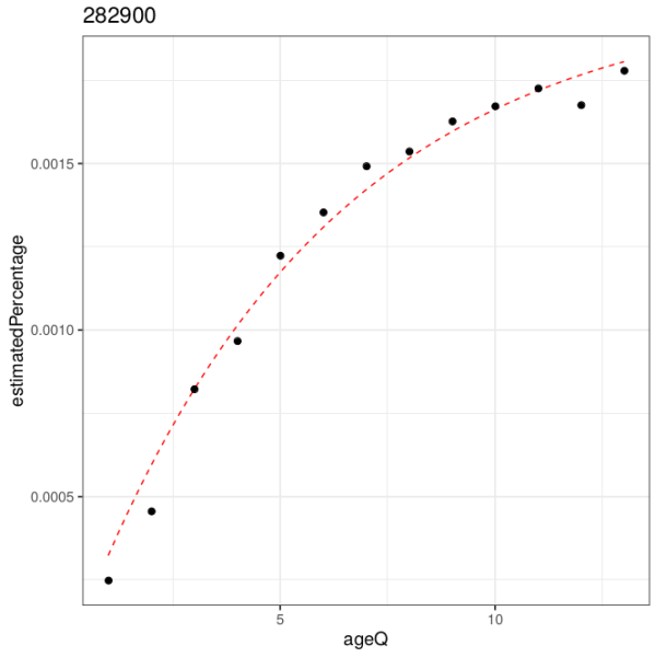
Non-Linear Regressions on Large Scale Data With nlsLoop nls.multstart Package
A brief aside (I am in crunch mode and can't write more). Getting into nls (very exciting) these days and learning quite a bit about it. One issue with fitting these models is the difficulty of finding appropriate starting values. When you are trying to fit one of these models finding starting values is not... Continue Reading →
GDEX and Midwest Game Dev Scene
I attended GDEX today thanks to the GRID lab and John. It was everything you imagine a gaming expo to be, with cosplay, FPV drone racing, cool demos and so on. While attendance of geeks and nerds was a given anywhere in the world, I was not expecting this much on the supply side in... Continue Reading →
My Experience with LFE Package and Why Open Source is the Way for Research
I keep talking about using large datasets and how some models take quite long time to run. One of those models is typically two way fixed effects models. While regular econometrics packages like plm are quite good for reasonably large datasets, more and more I find it hard to use with my datasets. Here is... Continue Reading →